近日,广州海洋实验室唐丹玲U团队利用无网格方法研究海底滑坡海啸问题取得新进展,相关成果以“An improved two phases-two points SPH model for submerged landslide”为题发表在SCI期刊Computers and Geotechnics(中科院1区,影响因子:5.7)上。论文第一作者为实验室U团队张桂彬博士,通讯作者为该团队带头人唐丹玲教授。合作单位包括华南理工大学、大连理工大学及中国科学院精密测量科学与技术创新研究院等。

该研究依据无网格方法—光滑粒子流体动力学(SPH),开发了一种先进的数值模型,用于精确模拟海底滑坡的复杂运动过程及其引发的海啸。模型通过引入双层粒子模型、修正的拖曳力公式及土壤弹塑性本构模型等创新机制,成功模拟了海底滑坡失稳滑移过程中的复杂动力学行为,及其与海水相互作用过程中涉及的渗流运动。模型在多个不同粒径土壤条件下的海底滑坡物理实验模拟中得到应用,且通过与实验数据及其他数值模拟结果的对比,全面验证了其准确性和适用性。
研究开发的两相-两点SPH模型在模拟海底滑坡引发海啸方面表现出卓越的性能,为进一步深入研究南海潜在滑坡海啸的风险提供了重要的科学依据。唐丹玲教授团队长期专注于南海U形海疆线走廊的地貌特征、地质构造、沉积过程及资源潜力的研究。该研究成果不仅有助于加深对南海地质灾害及其潜在影响的理解,还可为U形海疆线走廊海域的风险评估和防灾减灾工作提供有力的支持。
该研究由国家自然科学基金(42306232)、中国博士后科学基金(2024M750633)、广东省特支计划U团队项目(2019BT02H594)、广州海洋实验室人才科研启动项目(GML2021GD0810)及2022年度南沙区重点领域科技项目(2022ZD003)等资助。
论文全文:Guibin Zhang, Danling Tang, Hongjie Wen, Jianyun Chen, Pengfei Wu. An improved two phases-two points SPH model for submerged landslide. Computers and Geotechnics, 2024, 176: 106802. https://doi.org/10.1016/j.compgeo.2024.106802

Fig. 1. Concept of two-phase mixture theory for water-soil mixtures and the approximation process of two-layer SPH particles.

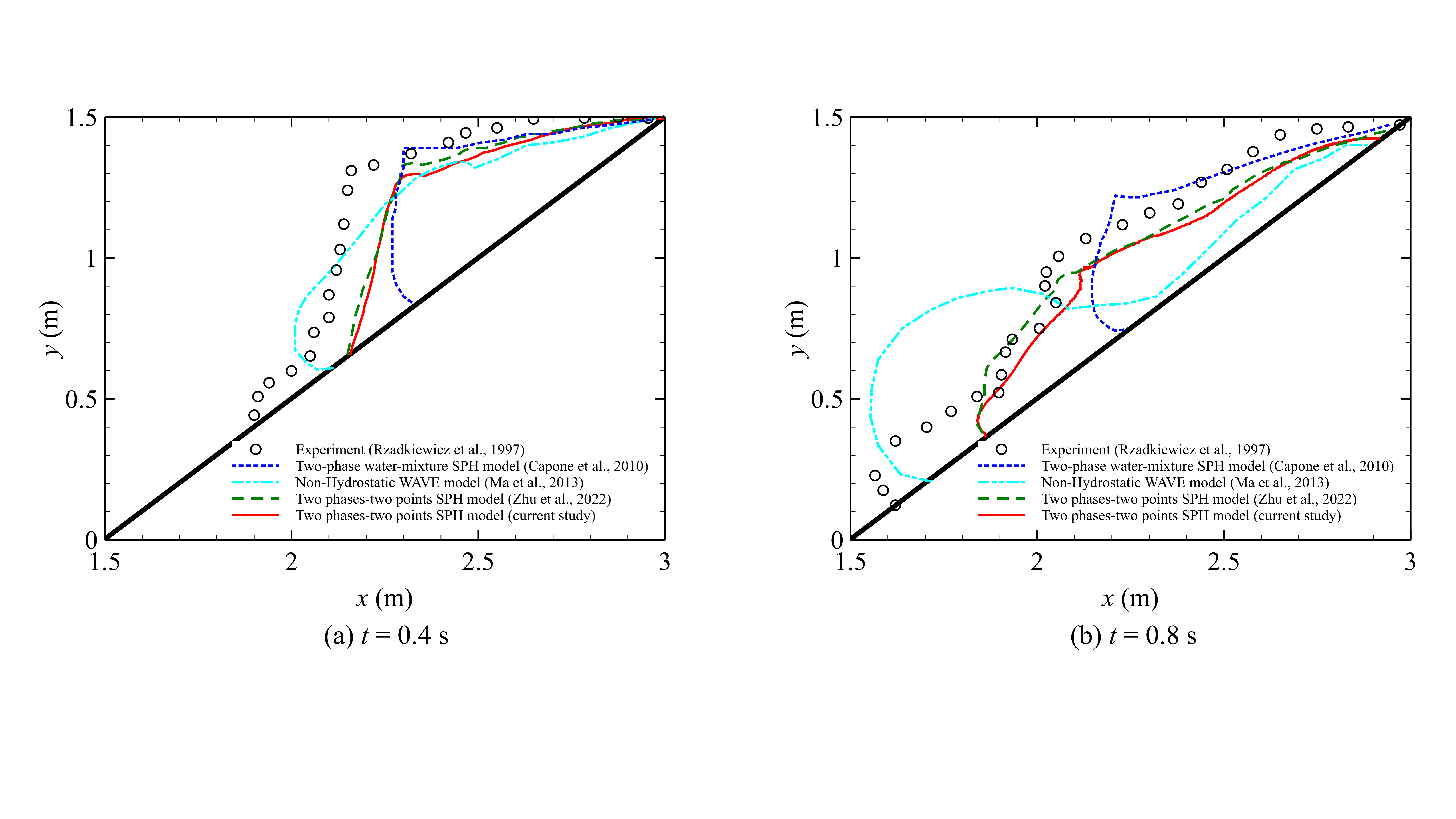
Fig. 2. Comparison of landslide profile shapes calculated by the present model at (a) t = 0.4 s and (b) t = 0.8 s, with experimental data and results from other numerical models.

Fig. 3. Comparison of free surface shapes computed by the present model at (a) t = 0.4 s and (b) t = 0.8 s, with experimental data and results from other numerical models.
Fig. 4. Comparison of numerical results (right column) and experimental snapshots (left column) of landslide profiles at typical moments, with fluid particles colored by volume fraction.
IOA登录
邮箱登录
网站地图
联系我们
香港分部
EN / 中文




