近日,广州海洋实验室唐丹玲团队利用无网格方法研究波浪与可渗结构相互作用取得进展,相关成果以“A modified weakly compressible smoothed particle hydrodynamics mixture model for accurate simulation of wave and porous structure interaction”为题发表在SCI区期刊《Physics of Fluids》(JCR 1区,影响因子:4.6)上。论文第一作者为广州海洋实验室的博后张桂彬,通讯作者为广州海洋实验室教授、广东省创新团队“南海生态环境权益综合研究”带头人唐丹玲博士。合作单位包括华南理工大学和大连理工大学。
研究通过采用光滑粒子流体动力学(SPH)技术开发了一种先进的数值模型,以精确模拟海洋工程中流体与多孔结构的复杂相互作用。该模型通过引入达西速度、表观密度和可变光滑长度等创新机制,有效地保证了在渗流模拟中的流体体积守恒。研究团队还提出了一种新颖的可渗界面处理技术和改进的粒子位移修正技术,显著提高了模型的计算精度和效率。这一模型已成功应用于多个物理实验的模拟,如溃坝波在可渗坝中的传播、波浪与可渗防波堤的相互作用等,并通过与实验数据及其他数值结果的比较,全面验证了其性能。
该研究在模拟波浪与多孔结构相互作用方面展示了卓越性能,对于深入探究波浪与珊瑚礁之间的动态交互过程具有重要的科学意义;唐丹玲团队长期致力于研究南海生态环境特征及其对海洋动力过程的响应,这项研究成果有助于深化对岛礁生态系统的理解和保护。
研究由国家自然科学青年基金(42306232)、广东省特支计划U团队项目(2019BT02H594)、广州海洋实验室人才科研启动项目(GML2021GD0810)和2022年度南沙区重点领域科技项目(2022ZD003)等资助。
论文全文:Guibin Zhang, Danling Tang*, Hongjie Wen, Jianyun Chen; A modified weakly compressible smoothed particle hydrodynamics mixture model for accurate simulation of wave and porous structure interaction. Physics of Fluids 1 April 2024; 36 (4): 047128. https://doi.org/10.1063/5.0200088

Figure 1. In the case of Darcy seepage in a U-tube, numerical snapshots of the particle positions and pressure distributions in the U-tube are presented for four different scenarios, each corresponding to a different porosity: (a) Case A/t = 15 s, (b) Case B/t = 30 s, (c) Case C/t = 100 s, (d) Case D/t = 70 s.

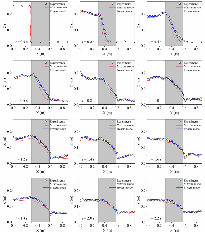
Figure 2. In the case study where a dam-break wave passes through a permeable dam, the free surface profiles at different moments calculated by both the existing and the original SPH hybrid models are compared with actual measurement data.

Figure 3. In the case of a solitary wave passing through a submerged porous structure, numerical snapshots of the surrounding area of the porous structure at a typical moment show: (a) the pressure field, and (b) the velocity vectors.

Figure 4. Comparison between numerical results and experimental data of wave height envelopes near the permeable breakwater: (a) submerged breakwater, (b) emerged breakwater.
IOA登录
邮箱登录
网站地图
联系我们
香港分部
EN / 中文




