近日,广州海洋实验室海洋生物演化与保护生物学研究团队在Ecology and Evolution期刊(中科院二区)发表了题为“Diversity and Prevalence of Coral Diseases in the Nearshore Regions of the Northern South China Sea”的文章。广州海洋实验室博士后杜少彤为第一作者,周文良研究员为通讯作者。该研究全面揭示了南海北部近岸区域珊瑚疾病的多样性、流行特征及其空间分布格局,阐明了不同珊瑚类群的疾病易感性及环境因素对疾病发生的影响,为珊瑚疾病早期预警与珊瑚礁生态系统保护提供了重要的科学依据。
珊瑚礁生态系统是以造礁石珊瑚为框架生物形成的独特生态系统,具有极高的生物多样性。自工业革命以来,随着人类活动干扰加剧及气候变暖的持续影响,全球珊瑚礁正经历快速衰退。珊瑚疾病被认为是导致珊瑚死亡并加速珊瑚礁生态系统退化的重要驱动因素之一。过去三十年间,南海珊瑚礁整体退化速率甚至超过全球平均值。然而,关于南海珊瑚疾病流行状况的研究报道仍较为匮乏。
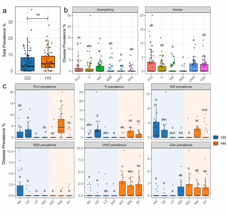
研究团队对南海北部近岸海域开展了系统性的珊瑚疾病野外调查。结果显示,粉红色线状综合症(Pink-Line Syndrome)、吸虫病(Trematodiasis Inflammatio)、白化坏死症(White Syndrome)、骨骼侵蚀病(Skeletal Eroding Band)、溃疡性白斑(Ulcerative White Spot)及异常生长(Growth Anomalies)是调查区域内常见的珊瑚疾病类型,滨珊瑚作为南海北部近岸海域的优势造礁石珊瑚类群,对疾病表现出较高的易感性,是多种常见珊瑚疾病的重要宿主。总体而言,华南大陆沿岸与海南岛沿岸珊瑚疾病的流行水平相近,但各类疾病呈现鲜明的区域分布特征。色素反应、白化、竞争性过度生长等多种珊瑚压力现象与疾病流行显著相关,强调了区域环境异质性在塑造珊瑚疾病空间分布格局中的关键作用。

图1 南海北部近岸海域常见珊瑚疾病

图2 广东省与海南岛沿岸珊瑚疾病的总体发病率(a);广东省与海南岛沿岸六种常见珊瑚疾病的发病率(b);各调查站点常见珊瑚疾病的发病率(c)
该研究得到了科技部(2021YFF0502800)、广东省科技厅 (2021QN02H103, 2023A1111110001)、广东南澎列岛海洋生物多样性野外科学观测研究站(2025B1212050002)和广东省林业局(SLYJ2023B4004) 及广州海洋实验室 PI 项目(GML2020GD0804,GML2022GD0804)等项目的资助。
论文链接:Tu, S., Qiu, L., Zhang, J., Hu, Y., Yu, W., Luo, H., ... & Zhou, W. (2025). Diversity and Prevalence of Coral Diseases in the Nearshore Regions of the Northern South China Sea. Ecology and Evolution, 15(12), e72562. https://doi.org/10.1002/ece3.72562
IOA登录
邮箱登录
网站地图
联系我们
香港分部
EN / 中文




